Home | Search | About | Fidelio | Economy | Strategy | Justice | Conferences | Join
Highlights
| Calendar | Music | Books | Concerts | Links | Education | Health
What's New | LaRouche | Spanish Pages | PoetryMaps
Dialogue of Cultures

Two Papers on the Catenary Curve
and Logarithmic Curve

(Acta Eruditorum, 1691)

G.W. Leibniz

Translated by Pierre Beaudry

Reprinted from FIDELIO Magazine, Vol . X No.1 , Spring 2001
Click to order this issue or to subscribe.

Introduction

Gottfried William Leibniz
(1646-1717)

1. The String Whose Curve Is Described by Bending Under Its Own Weight, and the Remarkable Resources That Can Be Discovered from It by However Many Proportional Means and Logarithms

II. Solutions to the Problem of the Catenary, or Funicular Curve, Proposed by M. Jacques Bernoulli in the Acta of June 1691

Translator's Notes

Related Articles


Introduction

Leibniz's paper on the catenary curve, was written at the instigation of Jacques Bernoulli for the Acta Eruditorum of Leipzig, June 1691. Following the example of Blaise Pascal, who had initiated, in 1658, a contest for the construction of the cycloid, Gottfried Leibniz also provoked the geometers of his time, by challenging them to submit, at the fixed date of mid-1691, their geometric method for the construction of the catenary curve. Leibniz later provided the answer, followed by Jean Bernoulli and Christian Huygens.

The two following papers are a historical account of the origin of the study of this transcendental curve, and, at the same time, the first physical-geometric construction showing the species-relationship between the catenary and the logarithmic curves, as two companion curves; one arithmetic, the other geometric. (All of the differentials of the catenary curve, are arithmetic means of corresponding differentials of the logarithmic curve; and, all of the differentials of the logarithmic curve, are geometric means of the catenary.)

This discovery of Leibniz, which was based on the quadrature of the hyperbola, is a beautiful example of the method of proportionality and self-similarity, which has been the hallmark of Platonic physical-geometry from the first applications of the Thales Theorem, to the later constructions of Carnot, Monge, and Poncelet, at the Ecole Polytechnique. In a letter to Huygens, Leibniz added this insight concerning his discovery: "I have reduced everything to logarithms, not only because everything is generated in a very simple and natural way (so much so that the catenary curve seems to have been created for the purpose of generating logarithms), but also because they make possible, by means of ordinary geometry, the discovery of an infinity of real points, all constructible from a single constant proportion applicable in all situations." In the Acta of 1691, Leibniz emphasized that, with his work on the catenary, he was able to determine "the best of all possible constructions for the transcendentals."

The search for a mathematics that would be the "least inadequate" for describing the physical phenomena of elliptical pathways of the planets, had been initiated by Johannes Kepler, but had remained incomplete. Leibniz, drawing upon work by Huygens, Fermat, and the Bernoulli brothers, undertook to resume that unfinished agenda, which was premised on the Platonic assumption that the generative principle in the universe was not only well-ordered proportionately, but also required a calculus (differential and integral) for transcendental curves, whose physical conditions are subjected to non-constant changes in curvature. This was in direct opposition to, and conflict with, the straight-line, action-at-a-distance ("push me-pull me") treatment of the problem of gravitation, and of the pathway of light, elaborated by Descartes, Newton, and their followers.

Although Leibniz often makes a statement like, "given a certain property, find the curve," the discovery of principle that Leibniz developed in the papers published in the Acta, and especially in his calculus of the catenary curve, was not aimed at the discovery of curves, per se. It was aimed at the discovery of the "intention," or "purpose," of the curve. There are two levels at which this principle of discovery applies: one is the level of the integral, and the other, the level of the differential.

From the higher standpoint of the integral, the purpose, or final causality of the curve, is a transfinite relative to the differential, incorporating within itself an ever-increasing density of singularities. And, as a transfinite, its purpose resides, ultimately, in the increase of the power of mankind over nature, with the intention of demonstrating the principle of sufficient reason in the best of all possible worlds. From the standpoint of the differential, on the other hand, the intention of the curve is to follow a non-linear direction which expresses the least-action pathway at every infinitesimally small increment of action, as exemplified by the least-time curvature of the pathway of light developed by Pierre Fermat, Christian Huygens, and Jean Bernoulli, in their discoveries of the non-linear curvature of light in the changing density of a medium of refraction.

Indeed, light knows the least-action pathway to take, because it follows, according to a non-entropic law of physical space-time, a proportional ordering principle which is coherent with a least-pathway and least-time motion. It is this proportional ordering principle which expresses the relationship between the differential and the integral, between the evolute and the involute, and between the catenary curve and the logarithmic curve.

The following two articles have been translated from the French text, "G.W Leibniz: La naissance du calcul differentiel, 26 articles des Acta Eruditorum. Introduction, traduction, et notes par Marc Parmentier" (Paris: Vrin, 1989), in consultation with the Latin original as it appears in, "G.W Leibniz: Mathematische Schriften," ed. by C.I. Gerhardt (Hildesheim: Georg Olms Verlagsbuchhandlung, 1962).

1.

The String Whose Curve Is Described by Bending Under Its Own Weight, and the Remarkable Resources That Can Be Discovered from It by However Many Proportional Means and Logarithms

from Acta Eruditorum, Leipzig, June 1691

The problem of the catenary curve,1 or funicular curve, is interesting for two reasons: First, it further extends the science of discovery, in other words the science of Analysis, which up to now has been incapable of tackling such questions; second, it extends the progress of construction techniques. In point of fact, I have come to realize that the resourcefulness of this curve is only equal to the simplicity of its construction, which makes it the primary one among all the transcendental curves.

This curve can be constructed, and traced very simply, by a physical type of construction, that is, by suspending a string, or better, a small chain (of variable length). And, as soon as you can determine its curve, you can discover all of the proportional means, and all of the logarithms that you wish to find, as well as the quadrature of the hyperbola. Galileo was the first who tried, without success, to discover its nature; he mistakenly conjectured that it was a parabola. Joachim Jung, the renowned philosopher and mathematician of this century, who, well before Descartes, had many enlightened ideas for the reform of the sciences, experimented with it, made some calculations, and came up with the proof that it was not a parabola; but without coming to the solution for the real curve.

Since then, many people have tried to solve the problem, but without success, until a very learned scientist recently gave me the opportunity to deal with it. In fact, the well-known Bernoulli, after having successfully tested different cases of curves with the Analysis of the Infinite which I had contributed with my differential calculus, asked me publicly, in the Acta of last May (p. 218ff), if I would examine the problem of the catenary curve, and see if, with our calculus, I could come up with a determination of the curve. After having graciously accepted to do the experiment, I have not only succeeded, unless I am mistaken, in becoming the first to solve this famous problem, but, I have also found some remarkable applications for this curve; which is why, following the example of Blaise Pascal, I invited mathematicians to discover, for themselves, the solution to this problem, by challenging their methods, to see if others could eventually find other ways to the solution, different from the one Bernoulli and I have used.

Only two people made it known that they had succeeded within the given time period, that is, Christian Huygens—unnecessary to stress the merit of his great contributions to the Republic of Letters—and the other, Bernoulli himself, in collaboration with his younger brother, whose intellect finds no equal but his own erudition; Bernoulli's contribution demonstrates that no future discovery from him, no matter how brilliant, should surprise us. I therefore judge that he has in fact proven, as I announced it, that our method of calculus does extend to this curve, and that it further opens the way to solving problems which have up until now been considered formidable. However, it is up to me to reveal my own results; others can show later the results of their own solutions.

Here is a geometric construction for the curve, without the use of a string, and without using any chain, and without any assumption of a quadrature; a construction which should be considered the most perfect method for generating all the transcendental curves, and the most appropriate for the purpose of Analysis. Given two segments that have between them a determined invariable ratio, represented here by D and K, as soon as you know the ratio of these two segments, the rest of the solution is derived by simple application of ordinary geometry.

Figure 1. The Catenary Curve and Logarithmic Curve

(Click here for Fig. 1) Given an indefinite straight line ON parallel to the horizon, given also OA, a perpendicular segment equal to O3N, and on top of 3N, a vertical segment 3N3ξ, which has with OA the ratio of D to K, find the proportional mean 1N1ξ (between OA and 3N3ξ); then, between 1N1ξ and 3N3ξ then, in turn, find the proportional mean between 1N1ξ and OA; as we go on looking for second proportional means in this way, and from them third proportionals, follow the curve 3ξ-1ξ A-1(ξ)-3(ξ) in such a way that when you take the equal intervals 3N1N, 1NO, O1(N), 1(N)3(N), etc., the ordinates 3N3ξ, 1N1ξ, OA, 1(N)1(ξ), 3(N)3(ξ), are in a continuous geometric progression, touching the curve I usually identify as logarithmic. So, by taking ON and O(N) as equal, elevate over N and (N) the segments NC and (N)(C) equal to the semi-sum of Nξ and (N)(ξ), such that C and (C) will be two points of the catenary curve FCA(C)L, on which you can determine geometrically as many points as you wish.

Conversely, if the catenary curve is physically constructed, by suspending a string, or a chain, you can construct from it as many proportional means as you wish, and find the logarithms of numbers, or the numbers of logarithms. If you are looking for the logarithm of number Oω, that is to say, the logarithm of the ratio between OA and Oω, the one of OA (which I choose as the unit, and which I will also call parameter) being considered equal to zero, you must take the third proportional Oψ from Oω and OA; then, choose the abscissa as the semi-sum of OB from Oω and Oψ, the corresponding ordinate BC or ON on the catenary will be the sought-for logarithm corresponding to the proposed number. And reciprocally, if the logarithm ON is given, you must take the double of the vertical segment NC dropped from the catenary, and cut it into two segments whose proportional mean should be equal to OA, which is the given unity (it is child's play); the two segments will be the sought-for numbers, one larger, the other smaller, than 1, corresponding to the proposed logarithm.

Another method: After you have found NC, as I have said, take OR (the R point being taken from the horizontal AR, such that OR is equal to OB or NC), the sum and the difference of segments OR and AR will be the two numbers, the one larger, the other smaller, than 1, corresponding to the given logarithm. Indeed, the difference between OR and AR is equal to Nξ, and their sum to (N)(ξ); just as OR and AR are, in turn, the half-sum and the semi-difference between (N)(ξ) and N.2

Here is the solution to the main problems usually posed for a given curve. To draw the tangent at a given point C.

On the horizontal straight line AR, going through summit A, take R such that OR is equal to OB which is known, the straight line CT which is anti-parallel to OR (cutting the axis OA at point T) will be the tangent we are looking for. In short, I call here anti-parallel, the straight lines OR and TC, which make with the parallels AR and BC, the angles ARO and BCT, not equal angles, but complementary angles. The right triangles OAR and CBT are thus similar triangles.3

Find the Segment Equal to an Arc of the Catenary Curve

If you draw a circle with center O, and radius OB, cutting the horizontal straight line going through A and R, AR will be equal to the given arc AC. We also see from what precedes, that ψω will be equal to the portion of the curve CA(C). If that portion were twice the value of the parameter, that is to say, if AC or AR were equal to OA, its inclination on the horizon at point C, in other words the angle BCT, would be 45 degrees, and the angle CT(C) would consequently be a right angle.

The Quadrature of the Area between the Caternary Curve
and One or More Straight Lines

After having found point R, as we did above, rectangle OAR will be equal to the area of the quadriline AONCA. The quadrature of any other sector can be derived in the same way. We can also find that the arcs are proportional to the areas of the quadrilines.

Find the Center of Gravity of the Catenary Curve,
or of A Portion of That Catenary

After having established the fourth proportional Oθ of the arc AC, in other words AR, of the ordinate BC and of the parameter OA, let us add to it the abscissa OB; then the half-sum OG will generate the center of gravity G of the catenary CA(C). Furthermore, by taking the intersection E of the tangent TC with the horizontal straight line going through A, and by completing the rectangle GAEP, P will be the center of gravity of arc AC. The center of gravity of any other arc C1C will be at the distance AM from the axis, πM being the perpendicular segment to the horizontal line going through the summit, taken from the intersection point π of the tangents Cπ and 1Cπ; but we can also get it from the centers of gravity of the arcs AC and A1C. We can further deduce BG, corresponding to the lowest possible position of the center of gravity of a string, of a chain, or of any other flexible but non-extensible line, of the given length ψω, suspended from points C and (C). For any other figure other than the curve CA(C) which I am now interested in, the center of gravity will be further up.

Find the Center of Gravity of the Area Between the Catenary Curve
and One or Many Straight Lines

Take the half Oβ of OG, and then complete the rectangle βAEQ; Q will be the center of gravity of the quadriline AONCA. We can easily deduce from this the center of gravity of any other figure taken between the catenary curve and one or many straight lines. The remarkable result is that not only the quadriline figures like AONCA are proportional to the arcs AC, as I have already noted it, but the distances between their centers of gravity and the horizontal straight line going through O, that is OG and Oβ, are proportional, the first always being double of the second; as for their distance to axis OB, that is PG and Qβ, their proportionality is purely and simply equality.

Find the Volume and Surface of Solids Generated by Rotation Around Any Fixed Straight Line Delimited by the Catenary Curve and One or Many Straight Lines

As one can see, this result is gotten from the two preceding problems. If the catenary curve CA(C) rotates around axis AB, the area generated will be equal to the circle whose radius is the root of the double rectangle EAR. We can also discover the value of other surfaces and volumes by the same method.

Because I wished to be brief, I omit here a number of theorems and problems which are already implicit in what I have just elaborated, and which can easily be derived from it. Given, for example, two points C and 1C of a catenary curve, and given π the intersection of the tangents at these points, draw from points 1C, π, C, the segments 1C1J, πM, CJ, perpendicular to the horizontal straight line AEE going through the summit, then we shall have

(1JJ x AC) - (1CC x 1JM) = 1BB x OA.

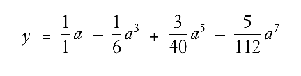
This could also be an opportunity for introducing infinite series. For example, parameter OA being considered as unity, establish the notation a for arc AC, the segment AR, and y as the ordinate BC; we shall get:

a series which can be established from a simple rule. By making use of what we have just said, we can further deduce the rest from the characteristic elements of the curve. For example, by considering as known the summit A, another point C, and the length AR of arc AC, which limits it, it is possible to get the parameter AO of the curve, that is in substance point O: in fact, since B is also known, let us trace BR and then draw segment Rμ, such that angle BRμ is equal to angle BRA. Under such conditions, the straight line Rμ (which you have extended) will cut the axis BA (extended) to the desired point O.4

I think what I have said includes the essential, and will permit anyone to deduce everything that needs to be stated about this curve. I am excluding myself from the task of going through the demonstrations, in order to avoid unnecessary prolixity, and, moreover, because they would be self-evident to anyone who has understood the calculus that I have just explained, and which forms the basis of our new Analysis.

2.

Solutions to the Problem of the Catenary, or Funicular Curve, Proposed by M. Jacques Bernoulli in the Acta of June 1691

Acta Eruditorum, Leipzig, September, 1691

I was thrilled to discover in my reading of them, the concordance between three solutions to the problem initiated by Galileo and revived by M. Bernoulli; it is a guarantee of exactitude which will convince those who do not go into the details of such questions. Therefore, even if there is no opportunity to compare them, here, point by point, their agreement on the fundamentals is obvious. The three of us have established the law of tangency, as well as the rectification of the catenary. I demonstrated, a long time ago, in the Acta of June 1686 (p. 489), (by means of a new type of contact which I have called "osculation") how to measure the curvature of a curve by using the radius of its osculating circle; that is, among all of the tangent circles, the one which is the closest to the curve, and which forms, with the curve itself, the smallest possible angle of contact; the famous Huygens (while noticing that the centers of those circles are always located on the curves that he was the first to invent; that is, evolutes whose development generate involutes) took the idea of applying my theory to this curve, and looked for the radius of curvature of the catenary, that is, its osculating circle, and in doing so, he discovered its evolute; this curve is also shown in the solution of the Bernoullis.5

Furthermore, the Huygens solution also gives the distance between the center of gravity and the axis of the catenary; the solution of the Bernoullis, along with mine, not only gives the distance to the axis, but also to the basis, and to any other straight line; thus permitting to locate that center point as well as the quadrature of the area encompassed by the catenary. To this, I have even added to my solution the center of gravity of this last figure, that is, of its area. M. Huygens gives the construction of the curve by supposing the following quadrature: xxyy = a>4 - aayy, while M. Jean Bernoulli, and myself, have related the catenary to the quadrature of the hyperbola; this last one makes an absolutely judicious use of the quadrature of a parabolic curve, while for my part, I have reduced everything to logarithms; I have determined in this way the type of expression, as well as the best of all possible constructions, for transcendentals. Indeed, all you need to know is a unique constant proportion, which will enable you to discover an infinity of points, using only ordinary geometry, and without any more need of quadrature or rectification. One might enjoy noticing, in my construction, this singular and elegant concordance between the catenary and logarithms. Furthermore, M. Huygens (giving us the hope of a considerable simplification with the use of a Table of Sines), made the observation to the effect that the problem could also be reduced to a sum of secants, uniformly growing by minimal increments. I had made the same remark in the past, and since I can still recall that it was also from such increments that one could determine the rhombic or loxodromic curve for the purpose of navigation, such a curve, which I remember having established a number of years back by means of logarithms, I have dug out my old draft papers which I have finally published in the Acta Eruditorum of last April (p. 181.)6

When he finds out how I have reduced the problem to the quadrature of the hyperbola, that is, to logarithms, he will admit, I think, that this brings the final touch to this investigation, and that all that remains to be done is to facilitate practical applications, and bring this discovery more to the reach of everyone.

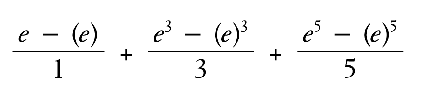
I have to point out, here, that certain errors, which I have made in the construction of the rhombic curve that I published last April, must be corrected. In point of fact: p. 181, line 12, 1L2L must be replaced by 1L3L; line 25, 1d3L by 2d3L; and, p.182, line 20, the ratio

e/1 + e3/3 + e5/5 ...

must be replaced by the ratio

These are things that the context would have obviously reestablished.

I find that M. Jacques Bernoulli has developed something very elegant in January (p. 16 of the Acta), on the equality of certain portions of dissimilar curves. As for the length of the finite curve, while describing an infinity of loops, in the Acta of June (p. 283), it is not indeterminate since it is equal to a finite curve, and we can follow it by a uniform movement in a finite time. I refer on this point to what he has himself declared in January (p. 21), that one cannot obtain the (general) rectification of any closed geometric curve. I know that another great man also tried to proved the impossibility of determining the indefinite area quadrature of any closed geometric curve; however it became evident to M. Huygens, as well as to myself, that the question was far from resolved. And, unless I am mistaken, there exist counter-examples to which, nonetheless, the same reasoning can be applied. I hope the author will not be offended by this remark, which is inspired only by the love of truth and not by any spirit of contradiction, because it does not diminish in any way the great merits of his other results.

My character leads me to personally celebrate wholeheartedly, and with real pleasure, the men who have acquired, or will acquire great merit in participating in the Republic of Letters, because I think this is the most justified price that must be given for their works, and which can constitute for them, as for others, an incentive for the future. I cannot hide the immense joy brought me by the work erected by the famous Bernoulli, with his younger and very ingenuous brother, based on the new calculus that I have initiated; more especially, as I had not yet met anybody who had made use of it, with the exception of the very quick-witted Scotsman, John Craig.

But, thanks to their brilliant inventions, I hope to see extended into the works of the mind, the use of this method which to my view, as well as to their own admission, is extremely rich in possibilities. There is no doubt that with this method, Mathematical Analysis shall be brought to its perfection, and that the problems of transcendentals, which up to now have been excluded, should come under its purview. So, M. Bernoulli has made this profound remark, which is, that at each inflexion point, the proportion between t and y, that is to say, between dx and dy, takes the greatest or the smallest value that can be assigned. In all eventuality, I have no doubt that he will uncover some results which even I do not suspect myself; because there still remain many points which I am not able to concern myself with, and on which I am not able to pronounce myself conclusively with the necessary precision.

Just as the works of Pascal and Huygens gave me the opportunity to make discoveries through these kinds of reflections, and from which I gradually achieved some results, which would have been difficult to attribute to such works directly; similarly, it seems to me that all that I have accomplished will give rise to more profoundly hidden discoveries that others will make. So, I sincerely thank the famous Bernoulli for having formulated the problems related to the catenary, and to continue to do so, in cases where the catenary is of variable thickness, where the string is extensible, or where the heavy string is replaced by an elastic band, or, finally, the case of the curve formed by a sail in the wind. I only wish I had the free time to debate these questions with him, but responsibilities of a totally different nature forbid me entirely to do so, and so, it is with difficulty that I have been able to recently find the time to put together and finalize the solution to the problem which he asked me to solve more than a year ago.

Finally, since he attempted to imagine (p. 290) the circumstances that led me to these ideas, and which works I had been using to help me, I insist on revealing to him my sources in all honesty. Advanced geometry was a total stranger to me until I met Christian Huygens, in Paris, in 1672, and to whom I publicly acknowledge in this article, as I did in personal letters, I owe the most, after Galileo and Descartes. After having read his Horlogium Oscillatorium, as well as the Letters of Dettonville (that is, Pascal), and the works of Gregoire de Saint Vincent, I acquired suddenly from them a great light, quite unexpected on my part, and also for that of those who knew I was a novice in this domain. I was very open to these results, and I soon began to give a few outlines on them. This is how a considerable number of theorems appeared to me spontaneously, and which were only corollaries of a new method.1

I later found a few, among others, from Jacques Gregory and Isaac Barrow. But I noticed that their origins were not sufficiently clear, and that a more profound thing needed to be discovered, which was not thought possible before; that is, that the most elevated part of geometry could one day be submitted to Analysis. I have revealed certain elements of this, a few years ago, more for public interest than for personal glory, and maybe it would have been a better service to keep my name out of it. However, I prefer to see that my seeds grow and bear fruit also in the gardens of others. Even though my hands were tied, and I could not busy myself with this as I should have, there was a higher domain for which new avenues needed to be opened; so, this is what was important in my eyes: That is, the case of developing methods is always more crucial, than particular problems, although it is the latter which usually bring applause.

In conclusion, I will only add one thing, even if it is not on this subject. I would like M. Bernoulli to consent to examine closely the article on the measurement of forces, which I opposed to M. Papin, especially near the end, where I think I have noticed the origin of the common error. He was right, last July (p. 321), to underscore the fact that no element of a force disappears without reappearing somewhere else; but force and quantity of motion are two different things; and aside from the fact that the more an obstacle is hard, the less the potential is dissipated, it is absolutely certain that the small impediments can be diminished in any given proportion, and that the resistances from rubbing, that is to say, owing to friction, are not proportional to the speed (as I indicated in my Schediasma de resistentia). Even though there exists resistance of the medium, nothing forbids us to imagine oscillations in empty space, free of air, or in a medium as thin as you want; finally, we must free the human mind from arbitrary contingencies, in order to bring out the underlying nature of the thing itself.

Translator's notes:

 1. The identification of the hanging chain by the name "catenary" was established by Christian Huygens, in a letter to Leibniz, dated November 18, 1690.

2. The reader should note that the proportional means developed by Leibniz correspond to the arithmetic and the geometric means, and that the descriptive expression "semi-sum" signifies the arithmetic mean. Leibniz obtained the proportionality between the two curves by using his divider as a differential calculator, to generate those two means. He calculated that, for any two segments, say NC and (N)(C), taken vertically under the catenary curve, which are equal to OB, and are equally situated on each side of the central axis, he could find their geometric mean AR by generating a circle whose radius and arithmetic mean is OB. The shorter segment N ξ, under the logarithmic curve, will be derived by subtracting the geometric mean AR from the arithmetic mean OB of that circle. The longer segment (N) ξ), under the logarithmic curve, will be gotten by adding the geometric mean AR to the arithmetic mean OB. Thus, the logarithmic curve is the geometric mean of the catenary curve, and the catenary curve is the arithmetic mean of the logarithmic curve.

 3. This method of finding the tangent to a curve, without the curve itself, is one of the most profound discoveries of Leibniz. It was Huygens who initiated the method of discovering a curve by the property of its tangents; that is, discovering the evolute at the intersection of two perpendiculars generated from its involute. Here, Leibniz applies a similar property of tangents, which is to relate the tangent at right angle to its anti-parallel. Generally, Leibniz treats the problem of inversion of tangents, from the vantage point of the intention of the differentials oriented toward their final cause.

 4. Note that the shapes of the two curves are not only variables of each other, but their curvature will also be subject to variation by changing the ratio of K to D. At the limit, and following Leibniz's principle of continuity, if the ratio of K to D were to become 1:1, then both curves would be transformed into a curves of zero curvature; that is, a single, horizontal straight line. The ratio of K and D chosen by Leibniz in this construction is 3:1.

 5Note on osculation. The reason why the notion of osculation is so important, is that it involves directly the application of the Parmenides Paradox. This is because the very idea of discovering an osculating circle to a given curve, leads you to the discovery of the evolute of that curve, as well as to an infinity of similar curves of the same family. In other words, the discovery of the evolute, implies the discovery of a One of a Many.

 6. Leibniz and the construction of the sine curve. According to the Acta Eruditorum of 1694, Leibniz developed a construction for the sine curve as derived from the circle, using the Roberval method of transferring the sine of the circle along the sine curve of a cycloid, and in so doing, he was able to determine the quadrature, that is, he was able to construct the entirety of an area perfectly equivalent to a quarter of a circle.

On the one hand, such a true definite of quadrature is uniquely possible, only when you treat the sines of such a quadrature as indivisibles, as an actual completed infinite sum; that is, an infinite which is determined in such a way that between two infinitesimals of that sum, there is no possibility of inserting a third. However, on the other hand, an indefinite quadrature could never have a completed infinite sum, and therefore, one cannot add infinitesimals to such an indefinite sum, nor can one reduce their indefinite totality to zero: nothing finite can be added to, or subtracted from, that which is infinite.


Related Articles:

See list on Pedagogy Page

Education, Science and Poetry

Fidelio Index of Articles, 1991-1996

Fidelio index of Articles. 1997-2001

Fidelio Index of Articles 2002

Translations of Leibniz, Plato, Mendelssohn, Schiller and others

Books and Publications


Join the Schiller Institute,
and help make a new, golden Renaissance!

MOST BACK ISSUES ARE STILL AVAILABLE! One hundred pages in each issue, of groundbreaking original research on philosophy, history, music, classical culture, news, translations, and reviews. Individual copies are $5.00 each plus shipping

Subscribe to Fidelio:
Only $20 for 4 issues, $40 for 8 issues.
Overseas subscriptions: $40 for 4 issues.


Text Only Archives:
2001 2000 1999 1998 1997
1996 1995 1994 1993 1992 1991

Shipping:
Magazines and Videos: $3.00 for the first, $1 each additional
Books: $4.00 for the first book, $1.50 for each additional book
Outside USA, $5 per item
Your Order Will be Mailed Within 48 Hours After Receipt of Payment.
.
The Schiller Institute
PO BOX 20244
Washington, DC 20041-0244
703-297-8368

schiller@schillerinstitute.org

Home | Search | About | Fidelio | Economy | Strategy | Justice | Conferences | Join
Highlights
| Calendar | Music | Books | Concerts | Links | Education | Health
What's New | LaRouche | Spanish Pages | PoetryMaps |
Dialogue of Cultures

© Copyright Schiller Institute, Inc. 2001- 2002. All Rights Reserved.